Introducció
Assajos clínics realitzats amb condroïtina sulfat (Condrosan®)1-5, sulfat de glucosamina6-7, i àcid hialurònic (Hyalgan®)8-11 han palesat per primera vegada la possibilitat que aquests compostos, a més d'actuar com a fàrmacs d'acció simptomàtica lenta (SYSADOA: symptomatic slow acting d rugs for osteoarthritis), puguin tenir influència en el curs de l'artrosi (frenant o retardant la malaltia), és a dir que actuïn com a modificadors del curs de la malaltia artròsica o S/DMOAD (structure disease modifying osteoarthritis drugs).
Hi ha experiència en la utilització clínica d'aquests compostos en patologia condral en medicina de l'esport a nivell simptomàtic. Tanmateix, no es fan assajos clínics a doble cec en l'àmbit de la medicina de l'esport. Per tant, les evidències concretes amb fàrmacs condroprotectors provenen d'assajos clínics realitzats en pacients artròsics, dades que es poden extrapolar a la medicina de l'esport, ateses les similituds existents entre la patologia condral en esportistes i en pacients artròsics. A continuació descrivim les evidències disponibles en artrosi amb els fàrmacs següents:
Condroitina sulfat
La condroïtina sulfat forma part del grup dels glicosaminoglicans, que són importants constituents estructurals de la matriu extracel·lular del cartílag. Els condròcits són les cèl·lules responsables de la síntesi dels diversos components d'aquesta matriu, i de l'homeòstasi i catabolisme del cartílag. La condroïtina sulfat està present principalment en la matriu extracel·lular que envolta aquestes cèl·lules i és més abundant en els teixits amb una gran matriu extracel·lular, com els que formen els teixits connectius del cos, cartílag, pell, vasos sanguinis, i els lligaments i els tendons.
El cartílag articular és un teixit molt especialitzat amb una matriu extracel·lular particularment gran amb més del 98% del volum de la seva matriu i menys del 2% de cèl·lules. Les propietats de resistència al pes que posseeix el teixit vénen donades, essencialment, per la integritat i l'estructura de la matriu. Les propietats físiques del teixit poden entendre's àmpliament en termes de la contribució realitzada pel col·lagen fibril·lar i els proteoglicans no fibril·lars. Essencialment, els glicosaminoglicans del cartílag constitueixen aquests agregats d'alt pes molecular (proteoglicans), la forma principal dels quals s'anomena agrecan.
Els proteoglicans contribueixen a aportar al cartílag les seves propietats mecàniques i elàstiques. Gràcies a la propietat de retenció d'aigua, els proteoglicans permeten que el cartílag articular s'estiri quan és sotmès a força mecànica. Així, el cartílag articular constitueix una superfície forta i elàstica com a suport de la càrrega, i aquestes característiques depenen de la integritat de la xarxa de col·lagen i la retenció dins seu d'una elevada concentració d'agrecan ric en condroïtina sulfat.
En les malalties articulars degeneratives, com ara l'artrosi i altres patologies condrals, es produeix una deterioració i pèrdua del cartílag articular. Una fase clau en el procés degeneratiu és la pèrdua de proteoglicà del cartílag i l'exposició de la seva xarxa de col·lagen a un mal funcionament mecànic.
Es pot admetre que la degradació de proteoglicans té lloc en la matriu com a conseqüència d'una alta activitat de les metal·loproteïnases neutres activades d'una forma latent a una forma activa (col·lagenasa, gelatinasa i estromelisina). S'ha observat que l'activitat de la col·lagenasa i l'estromelisina esta significativament augmentada en l'artrosi humana. Aquests enzims són secretats i sintetitzats pels sinoviòcits, però també pels condròcits sota l'efecte "catabòlit" de la interleucina-1. La interleucina-1 també indueix la síntesi i secreció de la prostaglandina E2 pels condròcits. La prostaglandina E2 podria inhibir la síntesi d'ADN i la proliferació de condròcits in vivo12.
A més de la inhibició de l'activació de les metal·loproteïnases, hi ha una inhibició extracel·lular de metal·loenzims, la qual controla la seva activitat en els teixits. Almenys dos inhibidors tissulars de les metal·loproteïnases (TIMP) han estat identificats i caracteritzats en diversos teixits, incloent-hi el cartílag.
En condicions fisiològiques, l'activitat proteolítica d'aquestes proteïnases endògenes del teixit sembla controlada per diversos inhibidors. La regulació d'aquest sistema de metal·loproteïnases podria ser un factor clau en la degradació de les macromolècules del cartílag. Estudis recents en cartílag artròsic humà indiquen un desequilibri entre els nivells de metal·loproteïnases i el nivell de TIMP.
Es pot concloure que la deficiència d'inhibidors específics per controlar l'activitat de les metal·loproteïnases neutres podria conduir a una reducció dels proteoglicans en la matriu.
Mecanismes d'acció
La justificació per utilitzar condroïtina sulfat per al tractament de les patologies condrals es basa en dades experimentals obtingudes en models in vitro i in vivo (animals i pacients artròsics), els quals han demostrat que els glicosaminoglicans sulfatats exògens tenen un efecte sobre el metabolisme dels condròcits i suggereixen una influència positiva sobre el curs de les malalties degeneratives articulars induïdes experimentalment.
La reducció de la proporció de síntesi d'agrecans i la disminució de la capacitat de reunir agregats de gran dimensió molecular que tenen lloc amb l'augment de l'edat en humans il·lustra una fallada progressiva de la funció de reparació de les cèl·lules del cartílag articular en humans. Aquesta observació explica l'augment de la incidència de l'artrosi en la gent gran.
Durant el procés de la patologia condral, el metabolisme del condròcit podria ser alterat per factors exògens i endògens en la matriu. Entre aquests, els glicosaminoglicans sulfatats han demostrat que tenen efectes específics, els quals podrien influir favorablement la restauració del cartílag o prevenir una degradació més gran de la matriu.
Els resultats de diversos estudis realitzats in vitro i en animals suggereixen que l'acció terapèutica de condroïtina sulfat ve donada almenys pels mecanismes d'acció següents: activitat antiinflamatòria en els components cel·lulars de la inflamació, estimulació de la síntesi de proteoglicans i àcid hialurònic endogen, reducció de l'activitat catabòlica dels condròcits (inhibint alguns enzims proteolítics com ara col·lagenasa, elastasa, proteoglicanasa, fosfolipasa A2, NAG, MMP-3, MMP-9, MMP-13, MMP-14, catepsina B i agrecanasa 1 i 2) i efecte protector dels components cel·lulars del cartílag13 (fig. 1).
Figura 1 Efecte farmacològic de la condroïtina sulfat en el sistema osteoarticular.
Els efectes de la condroïtina sulfat sobre la síntesi d'òxid nítric (ON) a nivell articular, afavoridor de la degradació del cartílag, han estat evidenciats pel grup de Blanco FJ et al14, els resultats del qual posen de manifest que la condroïtina sulfat és capaç de reduir la síntesi d'ON en els condròcits articulars humans artròsics. Aquestes troballes estan d'acord amb les del grup de Chevalier (França), que va observar que la condroïtina sulfat redueix l'apoptosi (mort cel·lular) induïda per ON en condròcits de conill.
Un treball recent presentat en el XXXI Congrés Nacional de la Sociedad Española de Reumatología apunta sobre un possible nou mecanisme d'acció relacionat amb l'efecte positiu de la condroïtina sulfat sobre el desequilibri ossi en l'os subcondral artròsic15.
Toxicitat
Els estudis de toxicitat (aguda, subaguda i crònica), mutagenicitat, genotoxicitat, carcinogènesi i de toxicitat sobre la reproducció, efectuats amb condroïtina sulfat, han donat en tots els casos resultats negatius.
La condroïtina sulfat no té toxicitat en si mateix. No es creu que l'administració exògena de condroïtina sulfat d'origen natural produeixi toxicitat sistèmica o genètica, atès que forma part dels components fisiològics dels teixits connectius. L'estructura de la condroïtina sulfat és idèntica a la de la condroïtina sulfat endogen, substància natural del teixit connectiu humà.
La condroïtina sulfat no ha induït reaccions de tipus anafilactoide ni hipersensibilitat de tipus cutani en els tests amb conills.
Tota aquesta seguretat demostrada en farmacologia experimental ha estat confirmada en clínica per mitjà de tots els assajos clínics, metaanàlisi i la farmacovigilància realitzada amb el producte.
Seguretat
Els resultats d'estudis clínics publicats en la bibliografia, amb una durada aproximada de 6 a 40 mesos en un nombre limitat de pacients, han mostrat una total absència de toxicitat de condroïtina sulfat administrat oralment en dosi d'1 a 2 g al dia. Els efectes adversos registrats en aquests estudis són menors i generalment associats al tracte gastrointestinal a l'inici del tractament, segons formes de nàusees, pesantor gàstrica, epigastràlgies, diarrees, etc.
Fins ara, la condroïtina sulfat és comercialitzat i s'utilitza en diversos països europeus: a Suïssa des del 1982, a Itàlia des del 1990, a França des del 1993, a Àustria des del 1994, a Portugal des del 2000, a Espanya des del 2002, i també en diversos països de l'Europa de l'Est. Durant aquests anys els estudis de farmacovigilància mai no han revelat cap efecte tòxic important en l'home com a resultat de la utilització d'aquest compost. Així doncs, el fet que la condroïtina sulfat es trobi comercialitzat en diversos països des de fa diversos anys i que s'hagin tractat uns quants milions de pacients arreu del món sense detectar-s'hi efectes adversos greus, confirma el seu gran perfil de seguretat.
La condroïtina sulfat és una substància natural ben coneguda que, segons les evidències presentades, es pot recomanar com un tractament d'acció simptomàtica lenta eficaç i segur per a l'artrosi utilitzat de la manera recomanada, tal com s'ha demostrat en els assajos clínics realitzats seguint les directrius CPMP (Comitè Assessor de l'Agència Europea del Medicament).
Les darreres recomanacions de la Lliga Europea Reumatològica (EULAR) per al tractament de l'artrosi de genoll fan referència al seu elevat perfil de seguretat. En una escala del 0 al 100, se li atribueix un nivell de toxicitat de 6, per la qual cosa constitueix un dels fàrmacs més segurs, al costat del sulfat de glucosamina, per al tractament de l'artrosi16.
En les esmentades recomanacions també es constata el nivell d'eficàcia i seguretat de condroïtina sulfat, que és inclòs en la categoria 1A de més evidència científica, amb un grau de recomanació A, també el més elevat. Alhora, el recent document de consens de la Sociedad Española de Reumatología sobre el tractament farmacològic de l'artrosi de genoll recull el mateix grau de recomanació per a la condroïtina sulfat17.
Efecte clínic
Los ensayos clínicos en pacientes artrósicos demuestran que el tratamiento con condroitín sulfato produce la disminución o la desaparición de los síntomas de la enfermedad artrósica, como son el dolor y la impotencia funcional, mejorando el movimiento de las articulaciones afectadas, con un efecto que perdura durante 2 o 3 meses.
Dado que se trata de un SYSADOA, el inicio de acción de condroitín sulfato es algo lento, entre 2-3 semanas, aunque eventualmente alcanza la misma eficacia que los antiinflamatorios no esteroideos (AINE) y además presenta un efecto remanente por el cual su eficacia se mantiene hasta 2-3 meses después de la supresión del tratamiento18-19.
Eficàcia i seguretat de la condroïtina sulfat respecte del diclofenac
Un assaig clínic aleatorizat, multicèntric, a doble cec, amb 146 pacients amb artrosi de genoll de com a mínim 6 mesos de durada, va comparar diclofenac pres durant 30 dies respecte de condroïtina sulfat pres durant 90 dies20.
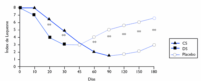
A partir del dia 45 d'estudi, l'efecte de la condroïtina sulfat pel que fa l'índex Lequesne va ser semblant al del diclofenac. Amb tot, durant els mesos 4, 5 i 6, quan els pacients només van prendre placebo, l'efecte va disminuir significativament en el grup diclofenac, mentre que el grup condroïtina sulfat va mantenir el seu efecte positiu. Al cap dels 6 mesos, la puntuació en el grup de condroïtina sulfat va ser un 64,4% inferior als valors inicials i la de diclofenac un 29.7% (fig. 2).
Figura 2 Valors mitjans de l'índex Lequesne durant l'estudio. CS: condroïtina sulfat; DS: diclofenac. **p < 0,01.
La variable del dolor espontani (escala analògica visual, EAV) mostra un descens progressiu i significatiu en ambdós grups amb una tendència semblant fins al dia 60. En els períodes posteriors els valors mitjans de dolor disminueixen considerablement en els pacients tractats amb condroïtina sulfat, que va resultar una diferència estadísticament significativa entre els dos grups durant els 4 mesos finals d'observació.
Tenint en compte únicament les mesures de dolor i funcionals, es pot concloure que la condroïtina sulfat disminueix el dolor espontani amb la mateixa eficàcia que el diclofenac. De totes maneres, al cap de 30 dies de tractament, l'efecte de la condroïtina sulfat és inferior a l'aconseguit amb diclofenac.
En definitiva, els pacients tractats amb AINE van presentar una reducció aguda i precoç dels símptomes clínics, que van reaparèixer en suspendre el tractament; en el grup de condroïtina sulfat la resposta terapèutica va aparèixer més tard en el temps, però va durar fins a 3 mesos després de finalitzat el tractament.
Com a conclusió, es pot afirmar que l'eficàcia clínica de la condroïtina sulfat va ser semblant a la de diclofenac, amb l'avantatge addicional d'una millor tolerància i prolongació de l'efecte després de la supressió del tractament.
Un altre estudi21 ha definit les característiques de la resposta a condroïtina sulfat durant i després de l'administració, prenent com a referència l'efecte de 150 mg de diclofenac sòdic (taula I). Amb aquest finalitat es van avaluar diversos assajos clínics aleatorizats, a doble cec, controlats amb placebo que incloïen pacients amb artrosi de genoll.
L'efecte de la condroïtina sulfat sobre l'estatus funcional (índex Lequesne), el dolor espontani (EAV de Huskisson) i el dolor a la càrrega, va ser avaluat utilitzant el model Emàx. Aquesta metodologia permet predir l'efecte màxim que es pot obtenir (Emàx), i el temps que cal per obtenir el 50% de l'Emàx (T50).
Els resultats d'aquest estudi (taula I) suggereixen que la resposta més favorable de predicció en pacients amb artrosi de genoll que han rebut 800 mg/dia de condroïtina sulfat durant 90 dies és lleument superior a la de predicció per a diclofenac, malgrat que la condroïtina sulfat triga el doble a aconseguir l'efecte més favorable. No obstant això, l'efecte romanent de la condroïtina sulfat persisteix el doble que el del diclofenac.
Eficàcia de la condroïtina sulfat respecte de placebo
En total, nou assajos clínics1-5,18,20,21, aleatorizats, a doble cec, han comparat l'efecte de condroïtina sulfat respecte de placebo en més de 1.000 pacients amb artrosi de genoll i dits, tractats durant períodes que van oscil·lar entre 3 i 36 mesos.
Els resultats de tots els assajos clínics coincideixen a concloure que la condroïtina sulfat és més eficaç (aproximadament el 50%, p < 0,05) que el placebo a reduir el dolor espontani, augmentar la capacitat funcional, disminuir la ingesta de medicació de rescat i en la valoració global del pacient i l'investigador.
Igualment, una metaanàlisi22 recull les dades de 7 assajos clínics prou homogenis com per ser analitzats conjuntament. Un total de 703 pacients van ser inclosos en aquests assajos clínics, 372 tractats amb condroïtina sulfat i 331 amb placebo.
Els resultats van mostrar que la condroïtina sulfat era significativament superior a placebo respecte de l'índex Lequesne, l'EAV del dolor i el consum de medicació concomitant. Es va observar una millora significativa de l'índex Lequesne (p < 0,01 a 0,001), de l'EAV del dolor (p < 0,05 a 0,001) i el consum de medicació concomitant (p < 0,05 a 0,01) en els pacients tractats amb condroïtina sulfat a partir del dia 60 i fins al final de l'estudi (dies 150, 180, respectivament), mentre que no va haver-hi canvis en el grup amb placebo.
Les dades recollides van confirmar almenys una millora del 50% en les variables de l'estudi en el grup condroïtina sulfat en comparació amb la medicació control o placebo al final de l'estudi. Curiosament, els efectes secundaris es van produir més freqüentment en els grups amb placebo. A més, la taxa d'abandonament en tots els assajos clínics va ser molt baixa i no va revelar diferències significatives entre els estudis inclosos en la metaanàlisi.
Els resultats d'aquesta metaanàlisi permeten concloure que la condroïtina sulfat pot ser una eina terapèutica eficaç per al tractament de l'artrosi.
Cal destacar un assaig clínic23 recent (GAIT-Glucosamine/Chondroitin Arthritis Intervention Trial) multicèntric, randomitzat i a doble cec en un total de 1.583 pacients amb artrosi de genoll realitzat pel National Institutes of Health (NIH) dels Estats Units, en el qual es va estudiar l'efecte de 5 tractaments (500 mg glucosamina 3 vegades al dia; 400 mg condroïtina sulfat 3 vegades al dia; 200 mg celecoxib al dia; 500 mg glucosamina + 400 mg condroïtina sulfat 3 vegades al dia; placebo) sobre la reducció del dolor durant 6 mesos. Els resultats van mostrar que glucosamina (64,0%), condroïtina sulfat (65,4%) o la combinació d'ambdós (66,6%) no van produir una reducció significativa del dolor respecte de placebo (60%) en tota la població de l'estudi. Clegg et al23 van manifestar que aquesta manca de resposta podria ser produïda perquè la majoria de pacients presentava dolor lleu (per tant, poca capacitat de discernir millora en el dolor) i per una resposta del placebo molt superior (60%) a l'esperada (35%). Però una anàlisi exploradora en el subgrup de pacients amb dolor moderat a greu suggereix que l'administració conjunta de condroïtina sulfat (Condrosan®, Bioibérica) + glucosamina disminueix significativament el dolor respecte de placebo (79,2% vs. 54,3%, p = 0,002) en pacients afectats d'artrosi de genoll; aquesta resposta va ser un 10% superior a la del control positiu (celecoxib).
En aquest mateix assaig clínic es va observar una disminució significativa de la inflor, acompanyada o no de vessament articular (sinovitis), en el grup tractat amb condroïtina sulfat, comparat amb placebo (p = 0,01).
Clegg et al24, basant-se en el mateix estudi (GAIT), també van avaluar si la condroïtina sulfat podria tenir un efecte diferencial sobre els símptomes de l'artrosi quant al grau radiogràfic de Kellgren & Lawrence (KL) dels pacients. Els resultats suggereixen que la condroïtina sulfat podria millorar el dolor de l'artrosi de genoll en pacients amb fases inicials de la patologia, concretament amb grau 2 de KL.
Efecte modificador del curs de la malaltia artròsica
Actualment la radiografia és el mètode més senzill per identificar els canvis anatòmics de l'articulació que confirmen l'existència i l'avanç de l'artrosi. S'hi observa un aprimament de l'espai articular, corresponent a una pèrdua de cartílag, esclerosi subcondral i formació d'osteòfits, la resposta òssia de l'articulació a l'augment de la càrrega mecànica resultant de la degeneració i pèrdua de cartílag.
La facilitat amb què aquestes característiques es poden detectar mitjançant radiografia i la facilitat d'interpretació han fet que sigui considerat el mètode principal per visualitzar les articulacions artròsiques. Actualment també estan guanyant terreny altres tècniques d'imatge, com la ressonància nuclear magnètica (RMN) o l'ecografia.
El punt més estret de l'espai articular tibiofemoral es pot mesurar en mil·límetres amb un regle o calibrador, tot i que l'aprimament també es pot graduar de 0 a 3 als compartiments separats de l'articulació del genoll, o de4 a +4, o partir d'una puntuació inicial de +1 i registrar els canvis en el temps en forma de canvis ± 1.0.
Paral·lelament als resultats que demostren l'eficàcia simptomàtica de la condroïtina sulfat, també s'ha evidenciat en 5 assajos clínics mitjançant tècniques radiogràfiques la possibilitat que condroïtina sulfat pugui prevenir les lesions articulars erosives o retardar la progressió de la lesió articular. Tot seguit resumim els resultats d'aquests treballs.
Dos assajos clínics aleatorizats, a doble cec, controlats amb placebo que van incloure, respectivament, 119 i 165 pacients amb artrosi de dits tractats amb condroïtina sulfat durant 3 anys, van concloure que la progressió de l'artrosi va ser menor en el grup de condroïtina sulfat i, a més a més, menys pacients d'aquest grup van desenvolupar artrosi erosiva. El criteri principal d'avaluació del dolor va ser una escala numèrica de l'evolució anatòmica de l'artrosi de dits, que es va determinar mitjançant radiografies posteroanteriors de les articulacions interfalàngiques i metacarpofalàngiques. Mitjançant l'anàlisi de les modificacions en les fases anatòmiques de cada pacient es va palesar que un nombre significatiu de pacients d'ambdós grups va desenvolupar artrosi en articulacions prèviament no afectades. Però en el grup tractat amb condroïtina sulfat es va observar una disminució significativa del nombre de pacients amb articulacions afectades4,5.
Un altre assaig clínic pilot aleatorizat, a doble cec, va estudiar l'evolució de l'espai articular de l'articulació femorotibial el 14 pacients tractats amb condroïtina sulfat i 12 amb placebo afectats d'artrosi tibiofemoral. El tractament amb 800 mg de condroïtina sulfat durant un any va induir una estabilització de l'espai articular tibiofemoral, mesurat per anàlisi d'imatge digitalitzada, mentre que es va constatar una reducció de l'espai articular en els pacients del grup placebo1.
També es va dur a terme un altre assaig clínic multicèntric, aleatorizat, a doble cec, controlat amb placebo d'1 any de durada en 110 pacients amb artrosi de genoll als quals es van administrar 800 mg/dia de condroïtina sulfat en 2 cicles de 3 mesos de tractament alternats per 3 de descans. Al cap d'un any es va observar que l'espai articular femorotibial va disminuir significativament en el grup placebo, mentre que es va mantenir inalterable en el grup CS6 (taula II).
Recentment, un nou assaig clínic aleatorizat, a doble cec, controlat amb placebo de 2 anys de durada que va incloure 300 pacients amb artrosi de genoll va reflectir que l'amplària i el gruix de l'espai articular havien disminuït significativament en el grup placebo, mentre que van romandre estables en el grup condroïtina sulfat3.
Els resultats esmentats suggereixen que la condroïtina sulfat, a més de millorar efectivament la simptomatologia de l'artrosi de genoll i dits, té propietats modificadores de l'estructura que, malgrat no reparar el dany provocat, sí són capaces de retardar i mitigar la progressió de la malaltia.
L'excel·lent seguretat demostrada en tota la recerca clínica duta a terme amb condroïtina sulfat és d'interès especial en un tractament crònic (tractament continuat i/o en cicles) com ho és la malaltia artròsica. Així mateix, també cal destacar que la condroïtina sulfat no és metabolitzat per enzims del citocrom P450, fet de gran transcendència, ja que implica que condroïtina sulfat no pot presentar interaccions amb altres medicaments a nivell metabòlic. Aquest aspecte és d'una rellevància especial per a pacients de la tercera edat polimedicats.
A més, la condroïtina sulfat presenta l'avantatge de ser un fàrmac molt més segur que la terapèutica clàssica utilitzada, perquè no presenta efectes adversos de caire gastrointestinal, hepàtic, renal o cardiovascular com la majoria d'AINE, per la qual cosa es pot administrar crònicament, tal com aquesta patologia exigeix, i actuar-hi com a tractament de base. A més, utilitzar-lo pot suposar una reducció del consum d'analgèsics i AINE o gastroprotectors18,22. D'altra banda, les característiques del seu efecte romanent fan també possible que es puguin pautar cicles amb i sense tractament intermitentment, a fi d'afavorir una major comoditat i qualitat de vida al pacient.
Podem concloure que la condroïtina sulfat és un fàrmac d'acció simptomàtica lenta eficaç i segur per al tractament de l'artrosi que ha demostrat millorar el dolor i la incapacitat funcional en tots els assajos clínics realitzats sobre el cas, amb una eficàcia semblant a la del diclofenac i una superioritat > 50% respecte del placebo.
Per tot això, podem afirmar que la condroïtina sulfat avui per avui es pot considerar un dels tractaments de base d'aquesta patologia.
Sulfat de glucosamina
El sulfat de glucosamina és un principi actiu d'origen biològic present en l'organisme humà i sintetitzat a partir de la quitina que s'extreu de les petxines i/o closques de crustacis. La glucosamina és un aminomonosacàrid natural i és el substrat per a la biosíntesi dels proteoglicans del cartílag.
S'ha demostrat l'activitat del sulfat de glucosamina sobre la síntesi de proteoglicans en els cartílags articulars25. Igualment, té una activitat antiinflamatòria ciclooxigenasa independent; d'aquí la bona tolerància gastrointestinal i general de la glucosamina.
A més, ha demostrat que inhibeix alguns enzims destructors del cartílag, com la col·lagenasa, agrecanasa, fosfolipasa A2 i enzims lisosòmics i la formació d'altres substàncies que danyen els teixits, com ara radicals superòxid dels macròfags.
Aquestes accions es poden explicar per una activitat estabilitzadora de la membrana, possiblement connectada amb les propietats metabòliques indicades del producte.
Els efectes sobre la síntesi d'òxid nítric (ON), afavoridor de la degradació del cartílag, no estan totalment clars, hi ha grups que han trobat que la síntesi d'ON minva26 i d'altres que no hi han trobat cap efecte (fig. 3) 14.
Figura 3 Efecte farmacològic del sulfat de glucosamina en el sistema osteoarticular.
Tot això explica la seva activitat beneficiosa en els processos de la patologia condral i, en particular, sobre els símptomes de la malaltia.
Amb caràcter estrictament especulatiu, s'ha comentat que l'eficàcia de condroïtina sulfat pugui venir donada per la seva conversió en sulfat de glucosamina, atès que l'estructura química d'ambdues molècules és semblant. De totes maneres, és important aclarir que de la molècula de condroïtina sulfat (integrada per un 55% de condroïtina sulfat 4, un 40% de condroïtina sulfat 6 i un 5% de condroïtina sulfat 4,6), teòricament només la condroïtina sulfat 6 pot transformar-se en sulfat de glucosamina i es desconeix en quina proporció. Ara bé, malgrat que fos el total de la seva proporció, la qual cosa resulta improbable, aquesta equivaldria a una dosi 5 vegades inferior a la terapèutica de glucosamina (1.500 mg), per la qual cosa l'argument que l'eficàcia de la condroïtina sulfat provingui de la seva conversió en glucosamina està mancat de fonament científic.
Com que es tracta d'un SYSADOA, l'inici d'acció del sulfat de glucosamina és lent, entre 2 o 3 setmanes, malgrat que eventualment aconsegueix la mateixa eficàcia que els AINE i a més a més presenta un efecte romanent pel qual la seva eficàcia es manté fins a 2 mesos després de la supressió del tractament.
Com s'ha comentat anteriorment, en un recent assaig clínic publicat per Clegg et al23, s'ha demostrat que la combinació de condroïtina sulfat més glucosamina en pacients afectats d'artrosi de genoll amb dolor moderat o intens, aconsegueix una millora estadísticament significativa del dolor inicial comparativament amb el grup placebo.
Àcid hialurónic
L'àcid hialurònic pertany a la família dels glicosamino-glicans i es troba en diversos teixits extracel·lulars, incloent-hi el líquid sinovial, la matriu extracel·lular de la pell i el cartílag.
En les articulacions, l'àcid hialurònic és produït pels condròcits i els sinoviòcits. L'àcid hialurònic constitueix l'eix central de diversos agregats de proteoglicans necessaris per a la integritat funcional del cartílag. És un dels components principals de la matriu extracel·lular del cartílag i les capes superficials de la membrana sinovial i està present en elevades concentracions en el líquid sinovial.
En els pacients amb patologia condral, l'àcid hialurònic del líquid sinovial se despolimeritza, tot donant com a resultat una disminució del pes molecular i la viscoelasticitat, i augmentant la susceptibilitat del cartílag a la lesió.
L'àcid hialurònic proporciona viscoelasticitat al líquid sinovial, fonamental per a les seves propietats de lubricant i amortidor, i essencial per a l' estructura correcta dels proteoglicans en el cartílag articular. En nombroses patologies condrals la quantitat d'àcid hialurònic en el líquid sinovial i en el cartílag és insuficient i la seva qualitat està alterada.
L'administració intraarticular d'àcid hialurònic millora la mobilitat de les articulacions amb superfície del cartílag degenerativa i alteracions en el líquid sinovial. Hi ha diversos àcids hialurònics que poden o no tenir els mateixos efectes clínics a causa de les seves distintes procedència, concentració, posologia i, sobretot, distints pesos moleculars27.
L'àcid hialurònic de 500-730 kDa (Hyalgan®) ha demostrat que la seva eficàcia terapèutica ve donada per la combinació de les seves propietats, tant mecàniques (viscosuplementació) com farmacològiques, raó per la qual està aprovat com a medicament respecte de la resta d'àcids hialurònics que hi ha disponibles com a implant.
Per entendre el mecanisme d'acció de l'àcid hialurònic s'ha definit el terme "viscosuplementació" emprat per a la major part d'àcids hialurònics d'alt pes molecular per recuperar les propietats viscoelàstiques del líquid sinovial.
D'altra banda, estudis in vitro i in vivo indiquen que l'àcid hialurònic amb pes molecular de 500-730 kDa, pot exercir un efecte sobre la inflamació per actuar sobre determinats radicals lliures de l'oxigen, per inhibir la proliferació, migració i fagocitosi leucocitària i per inhibir la prostaglandina E2 (PGE2) i l'òxid nítric (ON). L'àcid hialurònic, a aquest pes molecular també redueix l'apoptosi en el cartílag artròsic i contraresta alguns efectes de la interleucina-1 (IL-1). Així mateix, la injecció intraarticular de Hyalgan® estimula la síntesi d'àcid hialurònic endogen, i TIMP-127-29 (fig. 4).
Figura 4 Efecte farmacològic de l'àcid hialurònic en el sistema osteoarticular.
A causa de les seves distintes procedència, concentració, posologia i del pes molecular també diferent, no es pot afirmar que els diversos àcids hialurònics siguin bioequivalents des d'un punt de vista terapèutic.
En un estudi comparatiu entre un àcid hialurònic de 500-730 kDa i un altre de 6.000 kDa, es va observar que el primer era capaç de reduir un 70% els nivells d'ON induït per IL-1 i un 45% la síntesi de PGE2 induïda per IL-1 a diferència de l'àcid hialurònic de més alt pes molecular. Els dos àcids hialurònics van demostrar reduir l'apoptosi induïda per l'ON un 40% i 36%, respectivament29.
D'altra banda, després de comparar els resultats experimentals d'estudis in vitro i in vivo amb àcids hialurònics de pesos moleculars diferents, els resultats indiquen que mentre els estudis in vitro mostren generalment que els àcids hialurònics d'alt pes molecular són més actius biològicament que els de menor pes molecular, aquest fet no es confirma utilitzant models animals d'artrosi. La discrepància es podria explicar en part per una penetració més gran de l'àcid hialurònic de menor pes molecular a través de la matriu extracel·lular de la membrana sinovial, tot augmentant la seva concentració i facilitant la seva interacció amb les cèl·lules sinovials.
Els estudis que han utilitzat models animals d'artrosi han demostrat que els àcids hialurònics amb un pes molecular en el rang 500-1.000 kDa eren generalment més eficaços en la reducció dels índexs d'inflamació sinovial i restauració de les propietats del líquid sinovial que els AH amb un PM > 2300 kDa30.
Aquestes propietats farmacològiques observades amb l'àcid hialurònic de pes molecular 500-1.000 kDa podrien explicar el benefici clínic a llarg termini d'aquesta teràpia i confirmen la teoria que no tots els àcids hialurònics són iguals.
En assajos clínics controlats, els cicles de teràpia amb 5 injeccions d'àcid hialurònic de pes molecular 500-730 kDa han demostrat millorar significativament els símptomes de l'artrosi, com són el dolor i la impotència funcional, durant almenys 6 mesos després de la finalització del tractament. En alguns casos la millora s'ha evidenciat fins a 12 mesos i encara més31 (efecte romanent).
L'articulació més estudiada ha estat el genoll, per bé que hi ha altres assajos clínics realitzats en espatlla (omartrosi) i maluc.
Un assaig clínic multicèntric dut a terme als Estats Units amb 495 pacients afectats de gonartrosi, dividits en tres grups de tractament: un amb àcid hialurònic de pes molecular 500-730 kDa, un altre amb placebo i un tercer amb naproxèn, va reflectir l'eficàcia i seguretat d'aquest àcid hialurònic en pacients afectats de gonartrosi i va servir perquè la Food and Drug Administration (FDA) n'aprovés la comercialització als Estats Units per al tractament de l'artrosi de genoll en pacients que no responen a la teràpia no farmacològica (educació del pacient, pèrdua de pes, teràpia física i ocupacional) o analgèsica (paracetamol)32.
Una metaanàlisi recent de 24 assajos clínics publicats confirma l'eficàcia i seguretat d'aquest àcid hialurònic en el tractament de l'artrosi de genoll, com també en altres articulacions, a més de presentar evidències d'una possible acció modificadora del curs de la malaltia artròsica33.
Conclusions
A partir d'aquesta revisió sobre el tractament farmacològic de les condropaties, es pot confirmar que aquests medicaments (condroïtina sulfat, sulfat de glucosamina, àcid hialurònic) són eficaços en el tractament simptomàtic d'aquestes patologies i són fàrmacs altament segurs. Aquest últim punt és clau en el tractament crònic de la patologia condral, ja que es redueixen els efectes adversos i les possibles interaccions amb altres fàrmacs.
A més, hi ha evidències que aquestes molècules poden actuar com a modificadores de la patologia i arribar a retardar el curs de la patologia condral. Cal destacar, tanmateix, que aquestes dades s'hauran de confirmar en assajos clínics en curs de realització. Tot això permet pensar que els anys vinents es podrà iniciar l'estudi de la combinació d'aquestes noves molècules i l'especialització en articulació.
Correspondència: Prof. Antonio García García. Servicio de Farmacología Clínica. Hospital Universitario de la Princesa. Facultad de Medicina. Universidad Autónoma de Madrid. Av. Arzobispo, 4. 28209 Madrid. Espanya. Correu electrònic: agg@uam.es









