Introducción: Aunque el grado de fusión de la epífisis distal del radio izquierdo (EDRI) observado por resonancia magnética (RM) se ha relacionado con la edad cronológica (EC), se desconoce su relación con el estadio genital de Tanner en la población latinoamericana.
Objetivo: Evaluar la relación de la EC y la maduración sexual con la maduración ósea (MO) mediante RM de la EDRI en futbolistas adolescentes de la ciudad de Medellín, Colombia.
Material y métodos: Estudio transversal que incluyó a 60 futbolistas hombres de edad legal certificada entre 12 y 18 años. Se realizó una valoración médica y una RM de la EDRI con un escaner 1.5 T, según un protocolo descrito. La lectura de la imagen fue realizada por 3 evaluadores que utilizaron el ensayo enmascarado. Se determinó la MO en tres estadios (A: inmaduros; B: en desarrollo; C: maduros) y se evaluó la variabilidad inter e intraobservador.
Resultados: Entre los futbolistas incluidos se encontró un promedio de índice de masa corporal y porcentaje de grasa corporal de 19,6 ± 2,0 kg/m2 y 1,1 ± 1,2%, respectivamente. Se encontró correlación entre la EC y el estadio de maduración del test genital de Tanner con la MO (Tau_ b de Kendall 0,686 y 0,693, respectivamente; p < 0,001). Todos los jugadores clasificados en el grado C tenían 17 años o más y estadio de Tanner V. La correlación interobservador e intraobservador mostró un índice kappa de 0,36 (p < 0,001) y 0,60 (p < 0,001), respectivamente.
Conclusión: Se encontró relación de la EC y la maduración sexual con la MO por RM de la EDRI en futbolistas adolescentes. Una clasificación por grados de MO en 3 categorías podría ser más útil y tener implicaciones en la competición.
Introduction: Although the grade of fusion of the left distal radial epiphysis (LDRE) observed by magnetic resonance imaging (MRI) has been linked to chronological age (CA), its relationship to Tanner stage of the genitals in the Latin American population is unknown.
Objective: To evaluate the relationship of CA and sexual maturity with skeletal maturity (SM) determined by MRI of the LDRE in adolescent football players from Medellin, Colombia.
Materials and methods: Cross-sectional study that included 60 male football players with certified legal age between 12 and 18 years. Medical evaluation and MRI of the LDRE using a 1.5 T scanner was performed according to a described protocol. The image reading was performed by 3 blinded evaluators. SM was classified as: A: immature; B: developing; C: mature, and inter- and intra-observer variability was assessed.
Results: Among the football players included in the study, the average body mass index and body fat were 19.6 ± 2.0 kg/m2 and 11.1 ± 1.2%, respectively. A correlation of CA and the Tanner stage of genital maturity with SM (Kendall’s Tau_b 0.686 and 0.693, respectively; P < .001) was found. All players classified as stage C were 17 or older and Tanner stage V. The inter-observer and intra-observer agreement showed a kappa index of 0.36 (P < .001) and 0.60 (P < .001), respectively.
Conclusion: A relationship was found between CA and sexual maturity and SM by MRI of the LDRE in adolescent football players. Classification by stage of SM in 3 categories could be more practical and have implications for competition.
Introducción
En las divisiones inferiores de las ligas de fútbol colombianas e internacionales se han descrito algunas irregularidades de falsificación de documentos y/o suplantación de identidad para incorporar a individuos mayores a la práctica deportiva, alegando que eran más jóvenes. Algunos de estos jugadores son percibidos como jugadores talentosos, cuando en realidad son personas más maduras que las apropiadas a las divisiones1,2.
Los métodos disponibles para determinar la edad ósea en base a estudios de rayos X son imprecisos y no validados en nuestra población3; actualmente, los procedimientos de selección que utilizan los rayos X son inadecuados y en los estudios de investigación está prohibido el uso de este tipo de técnica4.
Estudios realizados en el Centro de Investigación Médica y Evaluación de la Federación Internacional de Fútbol Asociación (FIFA) muestran que la resonancia magnética (RM) de la epífisis distal del radio izquierdo (EDRI) puede ser utilizada para determinar el grado de madurez ósea (MO) de modo más fiable que las técnicas de rayos X5. En el estudio de validación del método, fue descrito un sistema de clasificación de 6 grados progresivos (i-vi), de acuerdo con la fusión de la EDRI en jugadores de fútbol de sexo masculino entre 14 y 19 años en 4 áreas diferentes del mundo (Suiza, Argelia, Malasia y Argentina)5. En este estudio, que involucró a 496 jugadores, se encontró que entre los 16 y 17 años menos del 1% tenía fusión completa, y a los 19 años el 100% estaba completamente fusionado. Se concluyó que este método de evaluación del grado de ME por resonancia magnética de la EDRI es exacto, fiable y seguro. También ofrece una alternativa no invasiva para valorar la ME de los jugadores.
Además, el mismo grupo de investigación de la FIFA informó de los resultados de la valoración de la MO de la EDRI mediante RM en 189 jugadores que participaron en 4 competiciones internacionales Sub-17 (FIFA 2003 Copa del Mundo Sub-17, Finlandia; FIFA 2005 Copa del Mundo Sub-17, Perú; Confederación Asiática de Fútbol, CAF Sub-17, 2004 Japón; CAF Sub-17 2006 Singapur). En este estudio hubo una falta de correlación entre la edad reportada y el grado reportado de fusión, que sugirió que los jugadores de estas competiciones eran más maduros que la población de referencia, y se reforzó la sospecha de que la edad declarada en los documentos oficiales no era correcta en todos los casos6.
La mediana de edad de acuerdo con el grado de fusión de la EDRI por resonancia magnética puede variar en diferentes regiones5. La población colombiana, debido a aspectos demográficos, nutricionales y sociales, puede presentar diferencias en la fusión ósea en comparación con otras poblaciones latinoamericanas y mundiales.
Aunque el grado de madurez sexual (estadio de Tanner) se ha correlacionado con la edad cronológica (EC), varios estudios han demostrado que la madurez del eje hipotalámico-pituitario y de las gónadas, EC y MO, de acuerdo con los rayos X, es asíncrona en sujetos jóvenes sanos7,8. No se han reportado estudios que evalúen la relación entre el estadio de Tanner y el grado de MO determinada por resonancia magnética.
El objetivo de este estudio fue evaluar la relación entre EC y madurez sexual con MO determinada por resonancia magnética de la EDRI en jugadores de fútbol adolescentes de la ciudad de Medellín, Colombia.
Métodos
Se realizó un estudio transversal que incluyó a jugadores de fútbol varones pertenecientes a los clubes que participan en torneos regulados por la Liga de Fútbol de Antioquia, en Colombia. Todos los sujetos nacieron entre el 1 de enero de 1992 y el 31 de diciembre de 1997, por lo que tenían entre 12 y 18 años en el momento de ser incluidos en el estudio.
Sujetos
Fueron incluidos jugadores de fútbol adolescentes, de edad acreditada por un certificado de nacimiento original, con fecha de registro civil de nacimiento hasta un máximo de 3 meses después de la fecha de nacimiento. Una vez que fue corroborada la documentación y la información por expertos del Registro Nacional de Colombia, los jugadores fueron invitados por teléfono o por sus entrenadores a participar en el proceso de selección.
Todos los participantes y sus tutores legales fueron informados del propósito de la investigación y firmaron el formulario de consentimiento informado, autorizado por el Comité de Bioética del Instituto de Investigación Médica de la Facultad de Medicina de la Universidad de Antioquia.
Una vez que los jugadores y sus tutores legales hubieron aceptado participar en el estudio, se realizó una valoración médica, que incluía información de la historia clínica y una revisión médica completa. Los estratos socioeconómicos se definieron de acuerdo con la división oficial de Colombia, que incluye 6 categorías (el nivel uno es el inferior, bajo, y el seis es alto). Se realizaron mediciones antropométricas, toma de la presión arterial, la frecuencia cardíaca, la auscultación cardiopulmonar y la evaluación de la etapa de madurez sexual. El peso se midió con una báscula KH-2003B de una precisión de 0,1 kg, la estatura con estadiómetro de pared de precisión de 0,1 cm (SECA 208, Seca Ltd., Hamburgo, Alemania) y el índice de masa corporal se calculó usando la ecuación peso/altura2. Para estimar el porcentaje de grasa corporal, se utilizó la ecuación Yuhasz modificada por Faulkner (% de grasa = suma de 4 pliegues cutáneos [tríceps, subescapular, suprailíaco, abdominal] × 0,158 + 5,783)9. Los pliegues cutáneos se midieron utilizando un adipómetro marca Slimguide (Creative Health Products, Plymouth MI, EE. UU.), y el estado de madurez de las características sexuales se definió de acuerdo con la escala de Tanner10.
Fueron excluidas las personas con antecedentes de enfermedades crónicas (diabetes, trastornos endocrinos, asma, artritis, enfermedades del corazón), uso de esteroides, fracturas del antebrazo o carpo izquierdo, o contraindicaciones para la RM de la EDRI (presencia de marcapasos, implantes cocleares, clips metálicos en el sistema nervioso central o válvulas del corazón con componentes ferromagnéticos). Una vez cumplidos todos los requisitos para participar en el estudio, se asignó al deportista un código aleatorio de 3 dígitos.
Resonancia magnética de la epífisis distal del radio izquierdo
La resonancia magnética de la EDRI se realizó en un centro especializado de diagnóstico por la imagen de Medellín, Colombia. Para obtener la imagen se emplearon los parámetros de normalización y el protocolo descrito en la investigación llevada a cabo en el Centro de Evaluación e Investigación Médica de la FIFA5,6. Se utilizó un escáner de RM Siemens 1,5 T; la muñeca se colocó encima de la cabeza o al costado del cuerpo con la palma de la mano hacia la parte anterior en el plano coronal. Las imágenes se almacenaron en formato digital (Picture Archiving and Communication System [PACS]) y se tomaron bajo los mismos protocolos; solo el personal técnico del centro de diagnóstico tuvo acceso a los códigos de identificación de los participantes.
Lectura de imágenes
Para la lectura de imágenes se siguieron las recomendaciones descritas en investigaciones previas5,6. Los lectores (2 radiólogos y un médico de medicina deportiva) efectuaron una evaluación ciega, en cuanto a la información básica sobre los participantes. Los resultados se presentaron en un formato preestablecido y en un sobre cerrado, que solo incluía una descripción del código asignado, el grado de fusión y la firma. Cada imagen fue leída de manera independiente y en distintos momentos por cada evaluador. El grado de fusión fue la clasificación más común entre los 3 resultados de los evaluadores (tabla 1) (fig. 1).
Figura 1. Imágenes que muestran el grado de fusión ósea de la epífisis distal del radio visto mediante imágenes de resonancia magnética de la epífisis distal del radio.
De acuerdo con las observaciones realizadas por los investigadores y teniendo en cuenta los resultados de estudios previos11, la MO en el fútbol se puede dividir en grados o etapas para dar homogeneidad a la competición y evitar dificultades de la EC. A partir de la clasificación en 6 categorías del grado de fusión de la EDRI por RM propuesta en estudios previos5,6, se propuso la reestratificación en 3 categorías en función de las etapas de la MO: fase de madurez A o inmaduros (grado i de fusión), etapa de madurez B o en desarrollo (grados de fusión ii-iv) y etapa de madurez C o maduros (grados de fusión v y vi) (tabla 1). El 10% de las imágenes fueron seleccionadas aleatoriamente y reevaluadas por uno de los lectores para evaluar la correlación intraobservador por test-retest.
Análisis estadístico
Se utilizó el test de Shapiro-Wilk para evaluar si las diferentes variables cuantitativas de la muestra y los distintos subgrupos procedían de una población normalmente distribuida. Para describir las características clínicas, antropométricas, y las características de madurez sexual de toda la muestra, así como el grado de fusión del hueso, se utilizaron mediciones de frecuencia y porcentajes para las variables cualitativas y medidas de tendencia central y de dispersión para las variables cuantitativas. Si la variable cuantitativa procedía de una población distribuida normalmente, se utilizaba la mediana y desviación estándar; si procedía de una población que no se distribuía normalmente, se utilizaba la mediana y el rango intercuartílico.
La relación de EC y la madurez sexual con MO se estableció a partir del coeficiente de correlación de Kendall. Para evaluar las diferencias de la EC de acuerdo al grado de fusión ósea, se utilizó el análisis no paramétrico de la varianza (ANOVA) (test de Kruskal-Wallis).
Se utilizó el índice kappa para realizar el análisis de correlación interobservador e intraobservador.
Los datos de cada jugador se incorporaron al gestor de datos Microsoft Excel 2007. Se revisó la información contenida en todos los formatos para verificar su realización. En todos los análisis se usó un nivel de significación de α = 0,05, se utilizó EPIDAT 4.0 de la Organización Panamericana de Salud y el software IBM SPSS Statistics versión 21.0.
Resultados
De un total de 151 jugadores pertenecientes a los clubes seleccionados, 96 reunieron los criterios de inclusión. Sesenta y cuatro acudieron a la valoración médica inicial; en cuanto a los otros, no fue posible contactar con ellos por teléfono: se hallaban fuera de la ciudad o del país en el momento de la llamada telefónica, puesto que pertenecían a clubes profesionales, o no se ajustaban al programa fijado. De los 64 jugadores evaluados, 4 fueron excluidos por razones médicas (3 por una historia de fractura del radio distal izquierdo y uno por asma). Finalmente, se realizó RM de la EDRI a 60 jugadores (fig. 2).
Figura 2. Diagrama de flujo que muestra la selección de los participantes en el estudio.
Entre los 60 jugadores de fútbol incluidos en el estudio, la mediana de edad, índice de masa corporal, y porcentaje de masa grasa fue 14,9 ± 1,6 años, 19,6 ± 2,0 kg/m2 y 11,1 ± 1,2%, respectivamente. Entre los participantes, el promedio de vida deportiva fue 4,3 ± 2,5 años, y el volumen de entrenamiento semanal 12,0 ± 1,0 h. Un total de 89,8% de los jugadores acudía al instituto, y un 79,7% pertenecía a los estratos socioeconómicos 1, 2 o 3. Se incluyeron 3 porteros, 11 laterales, 7 centrales, 26 extremos y 13 delanteros (tabla 2).
Tras valorar el grado de madurez, respecto a las características sexuales secundarias, no se encontraron jugadores precoces o con pubertad retardada. De acuerdo con Tanner, el 1,8, el 14,5, el 27,3, el 23,6 y el 32,7% de los deportistas se encontraba en los estadios i, ii, iii, iv y v, respectivamente. Según la clasificación del grado de fusión de la EDRI con RM, el 31,7, el 60,0 y el 8,3% de los deportistas estaban clasificados en los estadios A, B y C, respectivamente.
Se halló una correlación entre EC y estadio de madurez genital de Tanner con MO mediante RM de EDRI (Tau_b de Kendall 0,686 y 0,693, respectivamente; p < 0,001) (tabla 3).
Se observaron diferencias en la mediana de edad entre los grados de fusión de EDRI con RM en las clasificaciones de 6 y 3 categorías (p < 0,001) (fig. 3).
Figura 3. Diagramas de caja de edad según los grados de fusión de la epífisis distal del radio mediante resonancia magnética en las clasificaciones de 6 (a) y 3 (b) categorías.
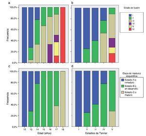
La figura 4 muestra la distribución del grado de fusión de EDRI mediante RM en las clasificaciones en 6 y 3 categorías de acuerdo con los estadios de edad de Tanner. Todos los jugadores clasificados como estadio C tenían 17 años o más y un estadio Tanner V. Solo un 27,8% de los jugadores de fútbol en el estadio V de genitales de Tanner fueron estadio C.
Figura 4. Distribución del grado de fusión de la epífisis distal del radio mediante resonancia magnética en las clasificaciones de 6 (a y b) y 3 (c y d) categorías según la edad y Tanner.
En la evaluación de correlación intraobservadores del grado de fusión epifisaria de EDRI determinada por RM se halló un índice kappa de 0,23 (IC del 95%: 0,10-0,28; p < 0,001) y 0,36 (IC del 95%: 0,19-0,52; p < 0,001) en 6 y 3 categorías, respectivamente. En la evaluación de correlación intraobservador se halló un índice kappa de 0,79 (IC del 95%: 0,62-0,96; p < 0,001) y 0,60 (IC del 95%: 0,21-0,99; p < 0,001) en la clasificación utilizando 6 y 3 categorías, respectivamente. No se encontraron diferencias de correlación en los índices kappa al comparar la correlación interobservador e intraobservador entre las 2 clasificaciones (p > 0,05).
Discusión
En nuestro estudio encontramos una relación entre EC según los estadios genitales de Tanner, y MO mediante RM de EDRI en jugadores de fútbol adolescentes de Medellín, Colombia. Según la EC, los grados de fusión tenían mayor capacidad discriminatoria en niños menores de 13 años de edad, de los cuales el 100% mostró etapa A. Además, todas las personas clasificadas en la etapa C tenían 17 años o más y el estadio de Tanner V. Estos resultados tienen implicaciones en las competiciones, sobre todo en la categoría sub-17, en la que surgen las mayores dificultades. En este sentido, se plantea la posibilidad de restringir la participación de esa categoría en torneos mundiales solo a los individuos con estadio A o B de MO.
La agrupación en 3 categorías, es decir, etapa A, B o C, del grado de fusión de EDRI determinado por RM, permite un enfoque más práctico de MO y evita la confusión que puede ocurrir con un mayor número de categorías.
A pesar de las correlaciones positivas entre la EC, la madurez sexual de la etapa de los genitales de Tanner (madurez biológica) y el grado de fusión ósea por RM de la EDRI se observó una relación asíncrona de madurez biológica (MB) de la fusión ósea. Mientras que el 32,7% de los individuos fueron Tanner etapa v, solo el 8,3% presentó fusión ósea etapa C. Estos hallazgos corroboran los resultados descritos en otros estudios que han reportado una diferencia temporal en el desarrollo del eje hipotalámico-pituitario y de las gónadas y MO7,8. MB es un tema de interés y controversia en diferentes áreas de la salud, tales como la endocrinología pediátrica12, las ciencias forenses13,14 y la medicina del deporte15. Es un tema importante en medicina del deporte porque el desarrollo de las capacidades físicas y coordinativas se relaciona con el grado de MB16-18. En el deporte, el deseo de ganar y la recompensa económica inherente han llevado a conductas poco éticas a través de la falsificación o suplantación de la documentación legal de los deportistas, sobre todo en el fútbol1.
Diversos investigadores han relacionado aspectos de la MB, tales como el desarrollo de las características sexuales secundarias (vello púbico y axilar, pechos, genitales), MO y EC7. A pesar de la variabilidad natural en la edad de inicio de la pubertad, se encontró una alta correlación entre estadios de Tanner y EC, lo que podría explicarse por las características sexuales y étnicas de nuestra población. También, aunque MB y MO están correlacionadas, son asíncronas en el adolescente sano. Un estudio demostró que la MB se produce 2-3 años antes que la MO7.
La evaluación de MO ha sido un tema de investigación durante muchos años y se ha correlacionado con EC en niños y adolescentes19. Sin embargo, los métodos tradicionales de evaluación de la edad ósea pueden subestimar o sobrestimar EC hasta 5 años19. Estas técnicas se basan en la maduración secuencial común de los huesos del carpo durante las etapas de desarrollo biológico. Los estudios han demostrado que entre 15 y 17 años de edad el carpo, los metacarpianos y las falanges están completamente desarrollados. Por esta razón, la valoración de MO a edades más avanzadas se basa en la calificación de la fusión de las epífisis del radio y el cúbito, ya que son los últimos huesos que se fusionan20.
Los métodos utilizados más comúnmente para valorar la edad ósea son Fels y TW3, que utilizan imágenes de rayos X para determinar el crecimiento de los huesos del carpo y la muñeca. El método Fels fue desarrollado en el Fels Longitudinal Study e incluyó a personas de clase media de Ohio, en Estados Unidos. En el método Fels la fusión de la epífisis distal del radio se clasifica en 4 grados para el medial y lateral tercero y 3 para el central tercero. El protocolo Fels asigna categorías a indicadores específicos de madurez y utiliza clasificaciones de las mediciones lineales de la anchura de la epífisis y metáfisis de los huesos largos. La puntuación se introduce en el software (Felshw 1.0) que calcula la edad ósea y el error estándar asociado estimado21.
El método TW3 se desarrolló con jóvenes de Europa (Gran Bretaña, Bélgica, Italia y España), América del Sur (Argentina), Estados Unidos (Texas) y Japón22. Esta técnica se diferencia de su predecesor, TW2, que fue realizado principalmente con la población británica en 195023. En TW3, los huesos de la mano izquierda y la muñeca se comparan con las cifras y descripciones de la población de referencia, que se limitan al radio, cúbito, huesos cortos y la primera, tercera y quinta falanges.
Aunque ambos métodos (Fels y TW3) han sido ampliamente utilizados en todo el mundo, tienen limitaciones debido a la estimación de la edad ósea mayor que la edad cronológica en los jóvenes jugadores de fútbol8,24. Además, son susceptibles de inter e intravariabilidad del observador en relación con aspectos demográficos, nutricionales y de salud, y puede haber diferencias genéticas entre la población de referencia y las personas a las que se aplican los métodos25.
Diferentes estudios realizados por la FIFA han demostrado que el grado de fusión de la EDRl mediante RM se correlaciona con la edad cronológica en jugadores de fútbol adolescentes5,6. Es importante destacar que la RM no tiene los riesgos asociados a la radiación en menores. Además, las radiografías planares de la epífisis distal radial sobreestiman la fusión en rangos de edad entre los 15 y 19 años en comparación con la RM26.
Estudios que evalúan el grado de fusión de EDRI por RM no definen una edad concreta del hueso, pero sí suficientes grados de MO que están relacionados con EC. Este método evita las limitaciones de tener una edad ósea que puede ser superior o inferior a la EC. Además, puede tener aplicaciones prácticas para establecer categorías de competición según el grado de MO5,6. La clasificación de grado de MO en 3 categorías podría predecir con certeza que todos los del estadio C son maduros y tienen por lo menos 17 años.
Este trabajo de investigación tiene ciertas limitaciones, como la inclusión de una muestra de conveniencia y la participación voluntaria de los sujetos, lo que puede generar un sesgo de selección. Sin embargo, aunque todos los individuos en el marco de la muestra fueron invitados a participar, finalmente, los criterios de exclusión limitaron el número de jugadores.
La población evaluada es de Antioquia y no es representativa de las diferentes áreas de Colombia, que varían demográfica y nutricionalmente. Resulta difícil probar que la documentación no ha sido falsificada, ya que los documentos pueden ser legales; sin embargo, nuestros resultados son similares a los resultados reportados por la «población estándar» de la FIFA6, y el rigor del protocolo establecido para la verificación de la documentación sustenta la calidad de la información.
Nuestros resultados concuerdan con las sugerencias reportadas por otros estudios, que proponen la clasificación de la competición según el grado de madurez y no exclusivamente la EC11. Entre 2 sujetos de la misma edad es posible encontrar un individuo de MO en la etapa B y el otro en la etapa C. Independientemente de la edad, los individuos clasificados como maduros deberían participar en las categorías superiores. Tener en cuenta la clasificación del grado de MO permitiría un juego más limpio, más homogéneo y aseguraría que los sujetos inmaduros o en desarrollo compitieran con sus homólogos reales.
Conclusión
Se encontró relación entre EC y la madurez sexual con MO a través de RM de la EDRI en jugadores de fútbol adolescentes. Se observaron diferencias en la mediana de edad entre los grados de fusión de EDRI por RM. Todos los jugadores clasificados como etapa C tenían 17 años o más y tenían etapa v de Tanner. Clasificar el grado de MO por etapas A, B o C (inmadura, en desarrollo o madura), de acuerdo con la fusión de la EDRI, podría ser más práctico y podría tener implicaciones en la competición.
Financiación
Este estudio fue realizado con los recursos del CEDIMED, Corporación Deportiva Independiente Medellín, Liga de Fútbol de Antioquia y Escuela graduada de Medicina Aplicada a la Educación física y al Deporte de la Universidad de Antioquia.
Conflicto de intereses
Los autores declaran que no tienen ningún conflicto de intereses.
Contribución de los autores
Concepción del estudio y diseño: JBS, OSZ, JOC, JGV; adquisición de datos: JBS, OSZ, GDD; análisis estadístico: JBS, JGV; análisis e interpretación de datos, borrador del manuscrito, revisión crítica del manuscrito y contenido intelectual: JBS, OSZ, JOC, GDD, JGV.
Agradecimientos
Nuestro sincero agradecimiento a CEDIMED, a la Corporación Deportiva Independiente Medellín, a la Liga de Fútbol de Antioquia y a la Escuela graduada de Medicina Aplicada a la Educación Física y al Deporte de la Universidad de Antioquia.
También queremos agradecer al Dr. Juan C. Calderón, de la Universidad de Antioquia, por su revisión crítica del manuscrito y por su apoyo a su publicación.
Recibido el 3 de febrero de 2015;
aceptado el 25 de mayo de 2015
* Autor para correspondencia.
Correo electrónico: jagallo2000@yahoo.com (J. Gallo).










