Introducción
A partir de la sexta década de vida se da una declinación acelerada de la capacidad funcional1. Esta declinación fisiológica se conoce como envejecimiento, y se define como un proceso que no corre necesariamente en forma paralela a la edad cronológica, y su presentación se considera según la variación individual. Sumado a esto, la presencia de numerosas patologías y su interrelación en un mismo sujeto configuran un enorme mosaico de posibilidades2.
Entre los efectos ocasionados por el envejecimiento se menciona el climaterio femenino, definido como la transición de la fase reproductiva a la no reproductiva3. El conocimiento de esta etapa de la vida es de gran importancia en el mundo de hoy, dada la creciente población involucrada4, las amplias perspectivas en prevención asociadas a las principales causas de morbimortalidad femenina y su relación con la productividad y la calidad de vida de esta población5.
Su enfoque integral incluye en la terapéutica: medidas generales de nutrición, estilo de vida, salud psicológica, ejercicio y medicamentos para la terapia hormonal sustitutoria, inhibidores de la resorción ósea, estimulantes de la formación ósea, hipolipemiantes de acción adrenérgica y dopaminérgica para el manejo especial de síntomas asociados, sedantes e inmunizaciones.
El ejercicio físico ha adquirido cada vez mayor importancia dentro de la terapéutica en el climaterio, dado que se ha demostrado que por sí mismo modifica factores de riesgo tan importantes como las enfermedades cardiovasculares y el desarrollo de osteoporosis con fracturas posteriores.
Las enfermedades cardiovasculares son la principal causa de mortalidad en mujeres6. El riesgo cardiovascular se refiere a enfermedad isquémica del corazón, a enfermedad de circulación pulmonar y a enfermedad cardiovascular periférica. El origen de todas estas afecciones es la ateroesclerosis: el 46% de las mujeres presentará morbilidad por patología cardiovascular y el 23% morirá por esta causa, lo que representa 100.000 muertes al año en Estados Unidos7. La modificación de estos riesgos por manejo integral del climaterio disminuye el riesgo de enfermedades cardiovasculares de 1,3 a 0,59 con estudios que varían de 0,16 a 0,83 en la literatura8.
La modificación de factores de riesgo que mejoran directamente la calidad de vida, la productividad, la morbilidad y la mortalidad de las pacientes climatéricas justifica su enfoque integral, que no solamente incluye medicamentos sino también medidas específicas habituales, como el ejercicio. Vamos a desarrollar a continuación los principales factores que hacen de la actividad física regular (ejercicio físico) una medida completamente ideal9.
Por esta razón, la Organización Mundial de la Salud (OMS) ha emprendido en las últimas décadas campañas en favor de la promoción de la salud y prevención de la enfermedad, para reducir los riesgos en esta etapa de la vida y estimular el autocuidado para la obtención de mejores condiciones de vida en la población femenina10. Dichas estrategias se dirigen al fomento de la actividad física, que hace que las mujeres mayores sean más aptas y más saludables y proporciona una mejora en la percepción de su salud, debido a los beneficios que éste ofrece11.
Dichos efectos benéficos van desde lo fisiológico y lo psicológico hasta las esferas de tipo social. Parte de estos beneficios se atribuyen a los cambios en las mediciones antropométricas, bioquímicas o fisiológicas, mientras que otros resultan de la percepción de la autoobservación12. Sumado a esto, la actividad física en el climaterio contribuye a disminuir los efectos del envejecimiento y proporciona beneficios en diferentes funciones, que incluyen los percibidos por el practicante13. Estos beneficios repercuten en la permanencia de los sujetos incorporados, es decir, existe relación entre la motivación y el beneficio percibido, aspecto que puede contextualizarse desde la medición de su calidad de vida14.
Una revisión bibliográfica realizada en el banco de datos de LILACS (Literatura Latinoamericana y del Caribe en Ciencias de la Salud) y en MEDLINE en el período de 1985 a 2006 puso en evidencia el reducido número de publicaciones que abordaron el tema de calidad de vida, beneficios percibidos, ejercicio y actividad física terapéutica específicamente en el climaterio.
De modo general, este estudio describe el efecto que proporciona un programa de actividad física terapéutica en medio acuático sobre la percepción de la salud, medidas a través del Cuestionario de Salud SF-36, en un grupo de mujeres mayores de 55 años no institucionalizadas en climaterio, y permite incorporar nuevas perspectivas de intervención de diferentes disciplinas relacionadas con la promoción de la actividad física con fines de salud.
Métodos
Universo
El estudio contó con la colaboración de un grupo de adultos mayores del área metropolitana de la ciudad de Cali (Colombia), pertenecientes a los diferentes grupos de tercera edad que utilizan el espacio físico de la Escuela Nacional del Deporte (END), para la realización de su gimnasia deportiva.
Tipo de estudio
Mediante un diseño cuasiexperimental analítico se midió el grado de relación entre la actividad física y el efecto sobre la percepción de la salud en un contexto particular.
Tamaño de la muestra
Tras un muestreo sistemático y por convocatoria se invitó a participar a 50 mujeres que cumplieran los criterios de inclusión. Todos los participantes firmaron un formulario de libre consentimiento y el protocolo fue presentado al Comité de Investigación de la END para su respectivo análisis y aprobación.
Criterios de inclusión
Mujeres menopáusicas normotensas (presión arterial sistólica < 140 mmHg y diastólica < 90 mmHg), historia clínica documentada de acuerdo con los siguientes criterios: a) más de 50 años de edad y más de 12 meses sin menstruar; b) más de 50 años de edad, con amenorrea de al menos 6 meses y síntomas específicos de carencia de estrógeno, y c) mujeres con antecedente de histerectomía sin doble anexectomía.
Criterios de exclusión
Mujeres con riesgo de osteoporosis secundaria, con tratamiento hormonal sustitutivo; mujeres que son tratadas contra los síntomas de menopausia con modificaciones de sus hábitos de vida y consumo de medicamentos utilizados para tratar los síntomas de menopausia, osteoporosis o que influyen sobre ella.
Consideraciones éticas
El estudio fue aprobado por el comité de investigaciones de la Escuela Nacional del Deporte. Todas las mujeres proporcionaron consentimiento escrito informado y su participación en el estudio fue voluntaria.
Mediciones principales
Se incluyeron las siguientes variables:
Medidas antropométricas
Edad, peso, talla, índice de masa corporal.
Medidas de resultados percibidos
Se eligió como método preguntar qué beneficios obtenían de la participación en la actividad física, y aunque la técnica tiene el inconveniente de no ofrecer una visión completa de todos los posibles, sí ofrece la ventaja de que el sujeto construye su propia vivencia. El beneficio percibido resulta vivenciado, tangible, y ése es el tipo de información que interesaba recoger, a través del Cuestionario genérico de Salud SF-36 Short Form; uno de los dos cuestionarios más utilizados debido a su simplicidad y corto tiempo de aplicación15. Esta prueba consiste en 36 preguntas subdivididas en 8 categorías: capacidad funcional (10 preguntas), vitalidad (4), aspectos físicos (4), dolor (2), estado general de salud (5), aspectos sociales (2), aspectos emocionales (3) y salud mental (5)10,16,17. Esta medición se ejecutó en 2 momentos: primero se obtuvieron los promedios de cada ítem de una escala, y luego cada puntuación se transformó en una escala de 0 a 100 en la que la puntuación más alta indica mejor calidad de vida, de acuerdo con los parámetros establecidos por los autores del instrumento12. Las mediciones se realizaron pre y post intervención. En cada uno de los momentos las categorías se presentaron en términos de mediana, media y desviación estándar.
En nuestro estudio se aplicó la versión 1 del Cuestionario de Salud SF-36 validado en lengua española por Alonso et al18,19. Respecto a la versión española del Cuestionario de Salud SF-36, su consistencia interna y reproducibilidad son aceptables y similares a las del instrumento original. La consistencia interna de todas las dimensiones del cuestionario es satisfactoria (coeficiente alfa de Cronbrach superior a 0,7), lo cual sugiere que las preguntas de cada una de ellas están midiendo un constructo unitario y poseen poco error aleatorio (alto grado de confiabilidad) para la comparación de grupos13,14. La mayoría de las categorías muestran también una alta reproducibilidad cuando se administra el cuestionario en 2 ocasiones separadas. En Colombia, su validación y adaptación mostró una buena consistencia interna, superando el 0,48, valor que excede el 0,40 recomendado por los autores del instrumento. Además, mostró una fiabilidad mayor de 0,70 en los 18 grupos analizados. La fiabilidad interobservador superó el 0,80, y la intraobservador estuvo por encima de 0,7020.
Plan de intervención
El grupo intervenido fue orientado por 3 profesionales de la salud (uno en educación física y salud y 2 fisioterapeutas) con experiencia en el tema. Para efectos del estudio, se llevó a cabo la implementación de un programa de actividad física terapéutica aplicado en medio acuático, diseñado por los autores del estudio, con una frecuencia de 3 veces por semana durante un período de 12 semanas (3 meses) y 1 h por sesión. Dicho protocolo se basó en los lineamientos y guías internacionales en actividad física del American College Sport Medicine (ACSM)21.
Las actividades que se contemplaron en el programa de entrenamiento constaban de:
Ejercicios gimnásticos
Se emplearon movimientos de las diferentes partes del cuerpo, ejecutados en distintas posiciones y con una dirección, amplitud, velocidad, grado de tensión y relajamiento de los músculos determinada; para desarrollar fuerza, rapidez, habilidad y la coordinación general.
Ejercicios de fuerza y velocidad-fuerza
Se realizaron mediante la ejecución de actividades contra la resistencia del agua y empleando instrumentos como flotadores tubulares y mancuernas de colcholón (material de espuma gruesa).
Ejercicios de distensión
La hipogravidez del medio acuático favorece la relajación muscular, pues se produce un relajamiento de los centros nerviosos por disminución del tono muscular basal a nivel general. También se produce la liberación de peso, lo que propicia un mayor rango de acción de las articulaciones, generando con ello mayor amplitud articular.
Ejercicios de relajamiento
En el agua, este mecanismo se ve favorecido por la disminución de la excitabilidad refleja. Estos ejercicios contribuyen al desarrollo de los procesos de inhibición de la corteza cerebral, crean condiciones favorables para la irrigación sanguínea de los músculos después de tensiones; mejoran los procesos metabólicos en los tejidos y ayudan a luchar contra la impericia de los movimientos.
Ejercicios de resistencia
Debido a la escasa acción hidrodinámica del cuerpo humano, las moléculas de agua que fluyen y circulan a su alrededor provocan flujos de frenado y de succión que dificultan el movimiento acuático, lo que, unido a la mayor viscosidad de este medio (12 veces), se convierte en un excelente lugar para el desarrollo de la resistencia y tonificación muscular; este beneficio se potenció con la utilización de implementos flotadores tubulares, pelotas de caucho e icopor, y mancuernas de colcholón que, empleados a diferentes velocidades, rangos de amplitud y ubicación, generan la resistencia programada.
Ejercicios de equilibrio
Estos ejercicios entrenan el aparato vestibular e influyen directamente en los canales semicirculares mediante cambios de posición, giros y flexiones. Los participantes tuvieron la oportunidad de experimentar las modificaciones en su centro de gravedad mediante diferentes posturas dentro del agua.
Ejercicios respiratorios
La presión hidrostática ejerce una ligera presión sobre la superficie corporal, y con el tiempo mejora la fuerza de los músculos involucrados en la respiración (diafragmáticos, intercostales y abdominales) y genera un aumento en la capacidad ventilatoria. La combinación de ejercicios de desarrollo gimnásticos con ejercicios respiratorios contribuye a mejorar la respiración pulmonar, y en los adultos mayores desarrolla el hábito de dominar la respiración libre para diferentes actividades.
Aquaerobic
Comprende un conjunto de actividades aeróbicas realizadas en el agua y acompañadas con música y adaptadas a las necesidades de los participantes. Se buscó con ellas desarrollar la expresión corporal, el sentido del ritmo, las cualidades físicas y habilidades en el medio acuático que generan beneficios en vitalidad y rol social, por su concepto integrador.
Análisis estadístico
Para el análisis de los datos se utilizó el software estadístico SPSS versión 10 para Windows. Mediante un análisis estadístico descriptivo se dividió la muestra por grupos etarios22. Se calcularon medidas de tendencia central (media, mediana, valor mínimo y valor máximo, desviación estándar) y medidas de dispersión23. Las diferencias entre las 2 medidas de CVRS en los grupos se analizaron con las pruebas no paramétricas Wilcoxon debido al tamaño de muestra pequeño. La prueba ANOVA se usó para comparar las medias entre los 2 grupos, y la prueba de χ2 se empleó en las comparaciones de las variables cualitativas. El nivel de significancia se fijó en p < 0,05.
Resultados
Los resultados obtenidos en este estudio corresponden a la práctica del ejercicio en condiciones de campo (medio acuático) y de larga permanencia (ejercicio crónico), mediante un programa de carácter grupal destinado a una población de adultos mayores.
Variables antropométricas
La muestra de estudio está constituida por un grupo de mujeres (n = 50) con edad media de 66 ± 6,6 años, con un intervalo de 55 a 79 años. La mayor población (32,7%) correspondió al rango de edades de 66 a 70 años, con 16 participantes, con una media de 68,5 ± 1,7 años; un grupo de 4 mujeres (8,2%) estaba en el rango de 76 a 80 años de edad, con una media de 78 ± 1,4 años. La talla media registrada fue de 1,57 ± 0,07 m, y el peso, de 66,4 ± 11,2 kg. El análisis nutricional se determinó por el índice de masa corporal (IMC), que relaciona la talla y el peso. Según los valores de la OMS, el valor de normalidad del IMC debe oscilar entre 20 y 25 kg/m2, que es el que se relaciona con bajos valores de morbimortalidad24. El grupo evaluado obtuvo clasificaciones de 26,9 ± 3,9 kg/m2, lo cual se asocia a sobrepeso tipo I (tabla I).
Beneficios percibidos por las mujeres adultas mayores incorporadas al ejercicio
En la tabla II se presentan las puntuaciones del Cuestionario de Salud SF-36 en la etapa preintervención. Los sujetos refirieron puntuaciones más altas en las categorías de función social (77 ± 20), salud mental (74 ± 17), salud general (72 ± 17), rol físico (72 ± 41) y función física (71 ± 27), mientras que las puntuaciones más bajas se expresaron en las categorías de vitalidad (66 ± 17), rol emocional (63 ± 46) y dolor corporal (58 ± 25). Todas las categorías fueron presentadas en el intervalo de 0 a 100. Aunque la media superó la puntuación de 50, esto indica que en conjunto la distribución se concentró en valores altos para cada categoría. Sin embargo, se obtuvieron valores superiores al 80% en función de la mediana en las categorías función física, rol físico y rol emocional.
En la tabla III se recogen las puntuaciones postintervención de las categorías del Cuestionario de Salud SF-36. Vale la pena resaltar que los cambios porcentuales mayores del 5% permiten con relativa facilidad registrar tanto empeoramientos en el estado de salud (el porcentaje de puntuaciones mínimas es muy bajo y puede crecer) como mejoras en él (el porcentaje de puntuación máxima puede todavía crecer sustancialmente en la mayoría de las categorías). Las categorías de rol físico (93 ± 21), función social (88 ± 16), salud general (85 ± 17), vitalidad (84 ± 15), rol emocional (82 ± 33) y función física (83 ± 17) presentaron cambios mayores, mientras que las variaciones más bajas se registraron en las categorías dolor corporal (75 ± 23) y salud mental (72 ± 10) (p ≤ 0,05).
En la tabla IV y la figura 1 se comparan los datos obtenidos en la etapa pre y postintervención (enunciado en porcentaje), y se advierten modificaciones en todas las categorías del Cuestionario de Salud SF-36. Las diferencias más significativas referidas por los sujetos se encontraron en las categorías dolor corporal (23%), rol físico (22%) y vitalidad (21%), mientras que la categoría de rol emocional y la salud general obtuvieron valores del 18 y del 16%, respectivamente. La función física (14%) y la función social (13%) fueron los más bajos. La salud mental tuvo una variación negativa del 3% (p ≥ 0,05).
Tabla IV Cambios en las puntuaciones en términos de porcentaje del SF-36 pre y postintervención
Figura 1 Distribución diferencial del cuestionario de Salud SF-36, pre y postintervención.
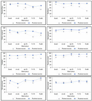
Por último, en la figura 2 se aprecia que en todas las edades el programa de actividad física terapéutica impacta de forma positiva en cada una de las categorías con una tendencia lineal (p < 0,05), excepto en el grupo de 71 a 75 años en la escala de función física, y en el de salud mental en el grupo de 66 a 70 años.
Figura 2 Puntuaciones medias en cada uno de los dominios según edades. Distribución de variables en las etapas de pre y de postintervención.
Discusión
El climaterio constituye una etapa de adaptación y transición a una nueva situación biológica que conlleva la pérdida de la capacidad reproductiva. La instauración de la menopausia tiene un carácter progresivo, afecta a todas las mujeres sanas y no se asocia a la génesis directa de ninguna patología; no hay, pues, ninguna base científica que permita considerarla como una endocrinopatía. Sólo en determinadas mujeres en las que se asocien factores de riesgo patologías preexistentes, estados carenciales o predisposición genética se desencadenarán determinadas patologías. Como consecuencia del propio envejecimiento, a partir de la menopausia aumenta el riesgo de enfermedades cardiovasculares, cáncer y alteraciones del metabolismo óseo. El fomento de estilos de vida saludables constituye el primer y en ocasiones el único contacto con la mujer menopáusica. El tratamiento y seguimiento de la mujer climatérica es necesario plantearlo desde una perspectiva biopsicosocial, como cualquier otra actividad de nuestra práctica habitual.
Muchas investigaciones utilizan el estado autopercibido de salud para acercarse a la subjetividad del concepto de salud en las personas mayores, específicamente en el ciclo biológico del climaterio; sin embargo, son pocos los estudios que han utilizado la percepción subjetiva y los modelos de intervención terapéutica en medio acuático en esta población.
Aunque la calidad de vida es un concepto subjetivo que se ve modificado en función del propio contexto cultural, en el climaterio se deben considerar los fenómenos que se dan en el área física y en las áreas psicológica, sexual, social y familiar de la mujer. Una parte de los estudios Heart and Estrogen/progestin Replacement Study (HERS)25,26 evaluó la variable calidad de vida en la mujer climatérica en relación a la actividad física, índice energía/fatiga y estado de salud mental durante 36 meses, y los síntomas depresivos a los 3 años de iniciar el tratamiento hormonal sustitutivo. Solamente las mujeres con síntomas de aumento de temperatura al ser reclutadas mejoraban los parámetros de estado de salud mental y los síntomas depresivos. Sin embargo, los síntomas mejoran espontáneamente, y revierten en el 50,8% de las mujeres tratadas con placebo. Son pocos los instrumentos de medición de la calidad de vida que cumplan todos los criterios de calidad de vida y que estén diseñados para la evaluación clínica y poblacional de los cambios que supone la menopausia en la calidad de vida de las mujeres, y aún son menos los documentos traducidos o validados al español. La evaluación de las consecuencias que la menopausia tiene sobre la mujer se ha basado tradicionalmente en escalas clínicas que pretenden proporcionar una cuantificación numérica que pueda usarse para la evaluación de la eficacia de las intervenciones médicas. Entre las escalas clínicas, el clásico cuestionario de Kupperman et al en 195027 y una versión posterior de éste desarrollada por Neugarten8 y Kraines28 presentan medidas de sintomatología florida, pero no reflejan cómo se perciben los síntomas o responden a tratamiento. En la literatura hay diferentes propuestas, como el Womens Health Questionnaire (WHQ), la Escala de Greene, la Menopausal Symptoms List, la Menopause Rating Scale (MRS), la Utian Menopause Quality of Life Scale (UMQLS), la Menopausic Specific Quality of Life (MEQOL) (hay versión española del MEQOL), el Cuestionario MENCAV y el cuestionario de calidad de vida incluido en el PAIMC, entre otros29.
Asimismo, los beneficios percibidos tienen un carácter multidimensional. Resultan importantes tanto los referidos a salud y aptitud, como los psicológicos y sociales. No se afirma que todos los beneficios se deban al ejercicio en sí mismo, pues la investigación no se realizó en condiciones experimentales. Pueden incidir otros factores (fenómeno grupal, acción del dirigente, ambiente ecológico)30, y en consideración de los autores, todos contribuyen sinérgicamente al objetivo deseado, que es la salud en su moderna dimensión física, emocional y social31. Cabe resaltar que en nuestro estudio fue evidente la mejoría significativa en las categorías de vitalidad, rol emocional y dolor corporal21. Resulta provechoso el fortalecimiento físico en general y el aumento de la seguridad ante las caídas, fenómeno frecuente y peligroso en este tipo de población y que, por lo tanto, contribuye a mejorar la calidad de vida.
Un ejemplo de esto es el estudio controlado con 74 mujeres adultas que asistieron 2 veces por semana a la práctica de hidrogimnástica (término utilizado para definir el ejercicio en medio acuático en Brasil) durante 3 meses, donde los autores verificaron el efecto sobre la aptitud física en mujeres adultas asociado a la salud. En general los resultados reflejaron un mejor desempeño en todos los postexámenes, comparado con el grupo control, y se concluyó que los ejercicios en medio acuático y realizados en forma regular contribuyen a mantener una mejor aptitud física relacionada con la salud1.
Otro estudio, realizado con un grupo de 37 mujeres con un promedio de edad de 60 años durante un período de 3 meses (12 semanas) y que pretendía comprobar el efecto de la práctica de la gimnasia acuática sobre la aptitud física del adulto mayor asociado a la salud, concluyó que la práctica de los programas de gimnasia aporta una mejoría y el mantenimiento de la aptitud física. Pero se puso en evidencia la necesidad de realizar un mayor número de estudios que avalen los efectos que fueron abordados y algunos otros que no se tuvieron en cuenta, como el estado de morbilidad32.
En este trabajo demostró ser un instrumento útil si se administra en población adulta mayor. Las mejores puntuaciones tras la intervención del programa de actividad física terapéutica se obtuvieron para las categorías de dolor corporal, rol físico, vitalidad y rol emocional, resultados similares a los de otros estudios internacionales33,34. También es coherente con la bibliografía especializada que el descenso de las puntuaciones del SF-36 asociado a la edad sea más acentuado en las categorías físicas35 y levemente o nada en las categorías mentales36,37. Este aspecto puede relacionarse con la pérdida de la capacidad funcional que acompaña al envejecimiento progresivo y la alta prevalencia de discapacidades en esta población, que según estudios internacionales alcanza el 32%26-38.
Al igual que en el estudio de Alonso et al14,23, también se ha observado que las desviaciones estándar de las puntuaciones del SF-36 tienden a aumentar con la edad. Esto posiblemente se explica por el menor tamaño muestral en los estratos de edad más avanzada y, quizá, la mayor heterogeneidad del estado de salud en los ancianos de mayor edad, hecho que es muy evidente en la clínica geriátrica7.
Las amplias diferencias observadas con otros estudios internacionales no pueden atribuirse a la forma de administrar el cuestionario, pues en ambos casos se hizo por entrevista personal, y el Cuestionario SF-36 fue entregado y explicado al inicio de la intervención. Este dato puede ser explicado por la representación del diseño de la investigación y la actividad física previa de los participantes, que fue tenido en cuenta a la hora de realizar la convocatoria.
En este sentido, nuestros resultados deben interpretarse con precaución debido a las limitaciones del estudio. En primer lugar, la muestra no puede ser extrapolada como valor de referencia por no ser un grupo representativo de sujetos intervenidos. Esto indica que sólo podrán ser tenidos en cuenta como un parámetro de comparación en actividad física terapéutica en medio acuático y no podrán compararse con intervenciones de ejercicio realizadas en condiciones de campo. Por último, tampoco se tuvieron en cuenta los indicadores antropométricos y su correlación con la percepción de la salud, como por ejemplo el IMC y su relación con las enfermedades crónicas. Por ello, y por las consideraciones anteriores, nuestros resultados suponen un reto para los profesionales de la salud y para los demás responsables de la promoción de la salud, y refuerzan el impacto de la actividad física en este tipo de poblaciones.
Correspondencia:
Robinson Ramírez Vélez.
Centro para la Investigación en Salud y Rendimiento Humano ZOE Calidad de vida.
Av. 2 Oeste Nº 10-36. Santa Rita. Cali-Valle del Cauca. Colombia.
Correo electrónico: robin640@hotmail.com









